Технология и организация обслуживания и ремонта устройств электроснабжения

Авторы
Издательство:
Год:
2004
Страниц:
275
ISBN:
5-89035-131-1
Библиографическая запись:
Южаков, Б.Г. Технология и организация обслуживания и ремонта устройств электроснабжения : учебник / Б. Г. Южаков. — Москва : Издательство "Маршрут", 2004. — 275 с. — 5-89035-131-1. — Текст : электронный // УМЦ ЖДТ : электронная библиотека. — URL: https://umczdt.ru/books/1194/226091/ (дата обращения 30.04.2026). — Режим доступа: по подписке.
Аннотация
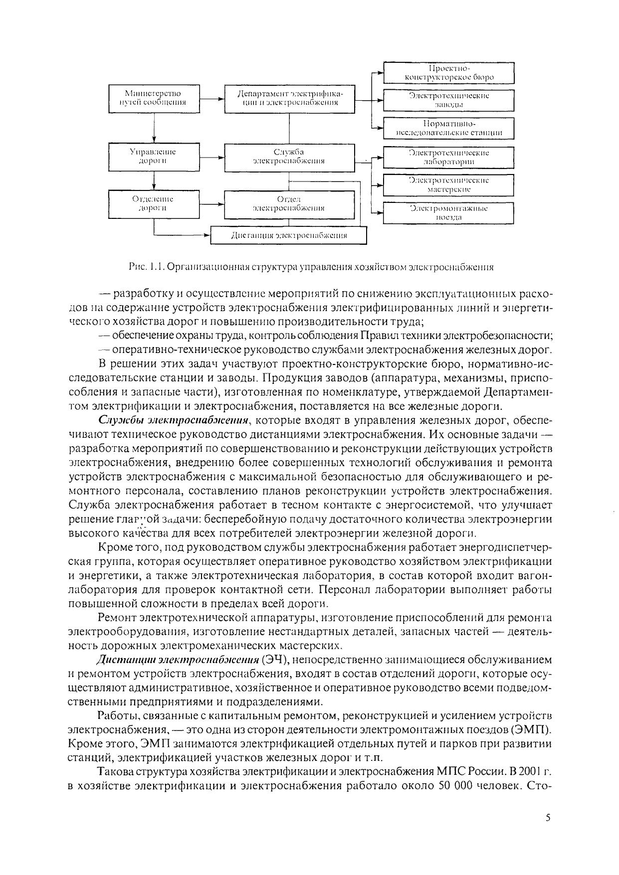
В учебнике рассмотрены вопросы организации обслуживания и ремонта устройств электроснабжения. Основное внимание уделено технологии работ по обслуживанию, ремонту и испытаниям электрооборудования тяговых подстанций, контактной сети, линий СЦБ и других воздушных линий.
Предназначен для студентов техникумов и колледжей железнодорожного транспорта специальности 1004 Электроснабжение железных дорог, а также работников, занятых эксплуатацией устройств электроснабжения электрифицированных железных дорог.
Наши партнеры

Наш веб-сайт использует Cookies для улучшения работоспособности веб-сайта, анализа использования данных сайта. Продолжая работу на веб-сайте, Вы даете свое согласие на обработку своих персональных данных в соответствии с Политикой сайта в отношении персональных данных, опубликованной на нашем веб-сайте. Вы можете запретить обработку Cookies в настройках браузера.